Eiger, Mönch & Jungfrau

Extended Chirp Scaling with MATLAB

Publications The Airship Simon Radar


Implementation and Example

Provided below is an example of SAR raw data processing using the Extended Chirp Scaling algorithm as described in Extended Chirp Scaling Algorithm for Air- and Spaceborne SAR Data Processing in Stripmap and ScanSAR Imaging Modes (IEEE Trans. Geosci. Remote Sens. 34, 1996). The example shows a simulated point target with ESA Envisat ASAR imaging mode system parameters.

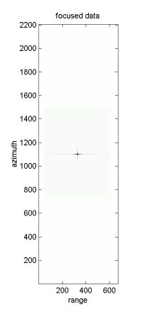
raw focused

An implementation of the basic algorithm (with which the example was processed) in MATLAB is available for download (zip archive, 10.6 MB) together with the raw data of the simulated point target.

time domain raw data after H1 transform time domain data after H2 transform
time domain data after H3 transform focused point target (after H4 transform)

Detailed information on system parameters and processing configuration can be found in the zip archive. The point target data is a SUN raster file, i.e. an image matrix with a 32 Byte header and dimensions 672 x 2206. Every pixel contains 8 Bytes, 4 Bytes for the real and 4 for the imaginary part of the sampled radar signal. The file format is big endian (ieee-be).
Additional information on data simulation can be found in Vibration and Rotation in Millimeter-Wave SAR (IEEE Trans. Geosci. Remote Sens. 45, 2007).


Created: July 2004 - Updated: September 2024